University of Bristol: Trace & Rank of Idempotent Matrices ๐
Learn about trace and rank of idempotent matrices with practice MCQs and notes. TIFR GS 2019 prep. Buy links included.

Santoshi Classes
181 views โข Nov 3, 2022

About this video
1. Linear Algebra 1000 MCQs based practice set. Buy link https://imojo.in/lvsWNp
(i) Basis and Dimension Notes PDF. Buy link https://imojo.in/1905ehy
(ii) Linear Algebra Theory and short Tricks (without proof). Buy link https://imojo.in/VkFq6L
(iii) 50 MCQs of Linear Transformation in Linear Algebra. Buy link https://imojo.in/T7AJB7
We devided the questions across key topics in linear algebra:
Vectors and vector spaces
Linear combinations and span
Linear independence
Basis and dimension
Linear transformations
Matrices and matrix operations
Rank and nullity
Determinants
Eigenvalues and eigenvectors
Diagonalization and Jordan form
2. (i) Abstract Algebra 250 MCQs with Solution. Buy link https://imojo.in/abstractal
(ii) Abstract Algebra 500 MCQs based practice set. Buy link https://imojo.in/1b5nhf7
(iii) Ring Theory Practice sets https://imojo.in/1JNUBwX
(iv) Abstract Algebra shortcuts and tricks https://imojo.in/okVI7d
(v) Abstract Algebra Practice set with Solution https://imojo.in/18csbFc
Group theory can be divided into several subtopics:
Basics of sets and binary operations
Definition of groups and examples
Subgroups and cyclic groups
Cosets and Lagrangeโs Theorem
Homomorphisms and Isomorphisms
Normal subgroups and quotient groups
Group actions
Sylow theorems
Direct and semidirect products
Classification of finite groups
3. Real Analysis 1000 MCQs based practice set. Buy link https://imojo.in/84h61s
(i) Metric space PYQs of Csir net https://imojo.in/n55Yrv
A comprehensive Practice set https://imojo.in/1AbMAbj
4. ODE 733 MCQs based practice set. Buy link https://imojo.in/1n86goh
5. Kerala PSC HSST Mathematics pyq solution download link https://imojo.in/kpWoGa
6. BHU Pet Mathematics Previous Year Question Paper Solution. Buy link https://imojo.in/bhupet
7. MH SET Mathematical Science PYQ Solutions https://imojo.in/1WtyebN
8. SSB Odisha PYQs solution https://imojo.in/H1N60d
9. TS SET Mathematics Previous year Question Paper solution https://imojo.in/tsset
10. Download Practice sets from https://www.instamojo.com/santoshifamily
11. TIFR Mathematics PYQs solutions https://imojo.in/1034Cge
(a) tifr real analysis pyqs solutions https://imojo.in/1e8ieEm
(b) tifr pyqs solution of linear algebra https://imojo.in/latifr
(c) Abstract Algebra solutions of TIFR Questions https://imojo.in/abstifr
12. Gate Mathematics PYQ + Key https://imojo.in/1IYCMMh
13. CUSAT CAT PG Mathematics PYQs from 2011 -2024 https://imojo.in/1500mcqs
14. CSIR NET PYQs Solution from 2011 - 2019 https://imojo.in/csirpyqs
15. NBHM M.Sc. &Ph.D. Question Paper 2005 - 2025 and their Solutions https://imojo.in/12w0wtx
You can Pay me using PayPal. Link is https://paypal.me/santoshifamily?locale.x=en_GB
Massachusetts Institute of Technology (MIT), United States, Harvard University, Stanford University, University of Cambridge, United Kingdom, University of Oxford, University of California, Berkeley (UCB), Princeton University, ETH Zurich (Swiss Federal Institute of Technology), Switzerland, University of California, Los Angeles (UCLA), New York University (NYU)
Syllabus of Linear Algebra- Vector space, Linear dependence of vectors, Basis, Dimension, Linear transformations, Matrix representation with respect to an ordered basis, Range space and null space, Rank-nullity theorem, Rank and inverse of a matrix, Determinant, Solutions of system of linear equations, Consistency conditions, Eigenvalues and eigenvectors, Cayley-Hamilton theorem, Symmetric, Skew-symmetric, Hermitian, Skew-Hermitian, Orthogonal and unitary matrices.
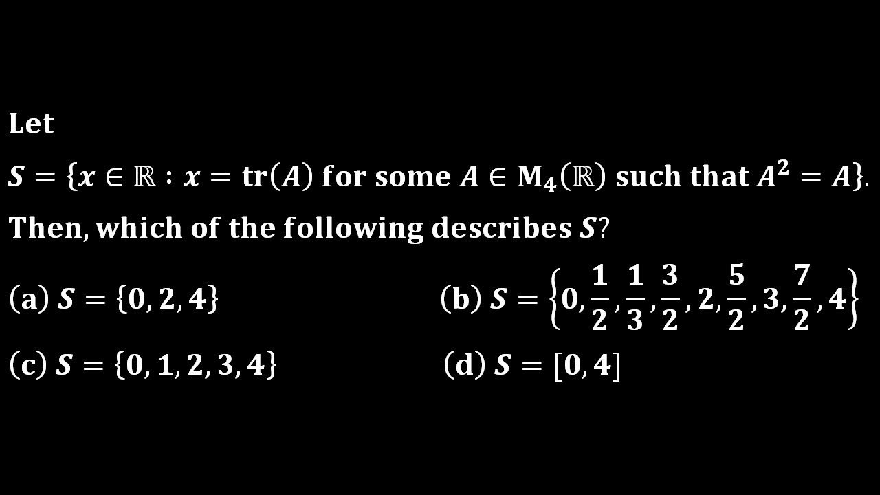
University of Bristol || trace and rank of idempotent matrix tifr gs 2019
En TIFR GS 2019, 10
Key (c)
(i) Basis and Dimension Notes PDF. Buy link https://imojo.in/1905ehy
(ii) Linear Algebra Theory and short Tricks (without proof). Buy link https://imojo.in/VkFq6L
(iii) 50 MCQs of Linear Transformation in Linear Algebra. Buy link https://imojo.in/T7AJB7
We devided the questions across key topics in linear algebra:
Vectors and vector spaces
Linear combinations and span
Linear independence
Basis and dimension
Linear transformations
Matrices and matrix operations
Rank and nullity
Determinants
Eigenvalues and eigenvectors
Diagonalization and Jordan form
2. (i) Abstract Algebra 250 MCQs with Solution. Buy link https://imojo.in/abstractal
(ii) Abstract Algebra 500 MCQs based practice set. Buy link https://imojo.in/1b5nhf7
(iii) Ring Theory Practice sets https://imojo.in/1JNUBwX
(iv) Abstract Algebra shortcuts and tricks https://imojo.in/okVI7d
(v) Abstract Algebra Practice set with Solution https://imojo.in/18csbFc
Group theory can be divided into several subtopics:
Basics of sets and binary operations
Definition of groups and examples
Subgroups and cyclic groups
Cosets and Lagrangeโs Theorem
Homomorphisms and Isomorphisms
Normal subgroups and quotient groups
Group actions
Sylow theorems
Direct and semidirect products
Classification of finite groups
3. Real Analysis 1000 MCQs based practice set. Buy link https://imojo.in/84h61s
(i) Metric space PYQs of Csir net https://imojo.in/n55Yrv
A comprehensive Practice set https://imojo.in/1AbMAbj
4. ODE 733 MCQs based practice set. Buy link https://imojo.in/1n86goh
5. Kerala PSC HSST Mathematics pyq solution download link https://imojo.in/kpWoGa
6. BHU Pet Mathematics Previous Year Question Paper Solution. Buy link https://imojo.in/bhupet
7. MH SET Mathematical Science PYQ Solutions https://imojo.in/1WtyebN
8. SSB Odisha PYQs solution https://imojo.in/H1N60d
9. TS SET Mathematics Previous year Question Paper solution https://imojo.in/tsset
10. Download Practice sets from https://www.instamojo.com/santoshifamily
11. TIFR Mathematics PYQs solutions https://imojo.in/1034Cge
(a) tifr real analysis pyqs solutions https://imojo.in/1e8ieEm
(b) tifr pyqs solution of linear algebra https://imojo.in/latifr
(c) Abstract Algebra solutions of TIFR Questions https://imojo.in/abstifr
12. Gate Mathematics PYQ + Key https://imojo.in/1IYCMMh
13. CUSAT CAT PG Mathematics PYQs from 2011 -2024 https://imojo.in/1500mcqs
14. CSIR NET PYQs Solution from 2011 - 2019 https://imojo.in/csirpyqs
15. NBHM M.Sc. &Ph.D. Question Paper 2005 - 2025 and their Solutions https://imojo.in/12w0wtx
You can Pay me using PayPal. Link is https://paypal.me/santoshifamily?locale.x=en_GB
Massachusetts Institute of Technology (MIT), United States, Harvard University, Stanford University, University of Cambridge, United Kingdom, University of Oxford, University of California, Berkeley (UCB), Princeton University, ETH Zurich (Swiss Federal Institute of Technology), Switzerland, University of California, Los Angeles (UCLA), New York University (NYU)
Syllabus of Linear Algebra- Vector space, Linear dependence of vectors, Basis, Dimension, Linear transformations, Matrix representation with respect to an ordered basis, Range space and null space, Rank-nullity theorem, Rank and inverse of a matrix, Determinant, Solutions of system of linear equations, Consistency conditions, Eigenvalues and eigenvectors, Cayley-Hamilton theorem, Symmetric, Skew-symmetric, Hermitian, Skew-Hermitian, Orthogonal and unitary matrices.
University of Bristol || trace and rank of idempotent matrix tifr gs 2019
En TIFR GS 2019, 10
Key (c)
Tags and Topics
Browse our collection to discover more content in these categories.
Video Information
Views
181
Likes
4
Duration
1:37
Published
Nov 3, 2022
Related Trending Topics
LIVE TRENDSRelated trending topics. Click any trend to explore more videos.