Integrating Using U-Substitution: A Unique Example
This example demonstrates a distinctive approach to U-substitution in integration, highlighting its versatility in various scenarios.

Matt Heywood
34.4K views • Jan 25, 2025

About this video
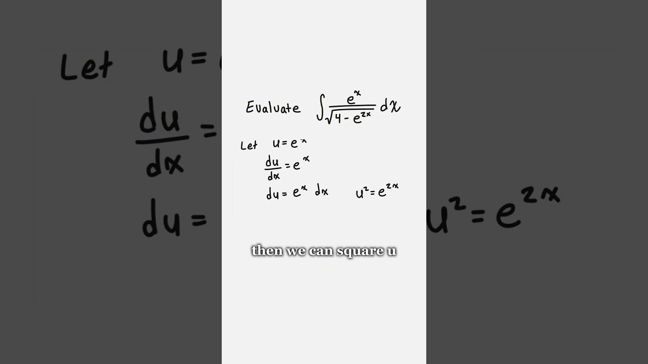
Here how to integrate by U-substitution
This example is a bit of a weird U-sub, but I like this example because it shows that you can use U-subs in different ways.
In calc 2 sometimes you come across questions where the first step is a U-sub, and you use a different integration technique to solve.
If you want tutoring for 1st-year calculus, we offer in-person tutoring at the University of Victoria and online tutoring in Canada and the US.
All the details for tutoring are on our website (linked in bio).
#tutor #calc #calculus #integration #integrals #engineering #student #teacher #college #university #math #uvic #ubc #camosuncollege #heywoodacademies #victoriasmallbusiness #victoriabc
This example is a bit of a weird U-sub, but I like this example because it shows that you can use U-subs in different ways.
In calc 2 sometimes you come across questions where the first step is a U-sub, and you use a different integration technique to solve.
If you want tutoring for 1st-year calculus, we offer in-person tutoring at the University of Victoria and online tutoring in Canada and the US.
All the details for tutoring are on our website (linked in bio).
#tutor #calc #calculus #integration #integrals #engineering #student #teacher #college #university #math #uvic #ubc #camosuncollege #heywoodacademies #victoriasmallbusiness #victoriabc
Video Information
Views
34.4K
Likes
988
Duration
0:34
Published
Jan 25, 2025
User Reviews
4.7
(6) Related Trending Topics
LIVE TRENDSRelated trending topics. Click any trend to explore more videos.
Trending Now