Integrating with Trigonometric Substitution β¨
Learn how to solve integrals using trig substitution for effective calculus solutions. #math #calculus #integration

ElectricalMath
36.8K views β’ Feb 7, 2025

About this video
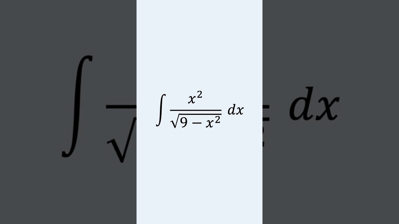
Solving an integral using trigonometric substitution β or "trig sub" for short.
#maths #mathematics #math #calculus #integration #integral #integrals #trigonometry
#maths #mathematics #math #calculus #integration #integral #integrals #trigonometry
Tags and Topics
Browse our collection to discover more content in these categories.
Video Information
Views
36.8K
Likes
2.5K
Duration
2:42
Published
Feb 7, 2025
User Reviews
4.7
(7) Related Trending Topics
LIVE TRENDSRelated trending topics. Click any trend to explore more videos.
Trending Now