Solve Simultaneous Equations with Elimination Method
Learn how to solve simultaneous equations easily using the elimination method in this helpful tutorial. ๐

THE ANALYST
15.5K views โข Sep 5, 2023

About this video
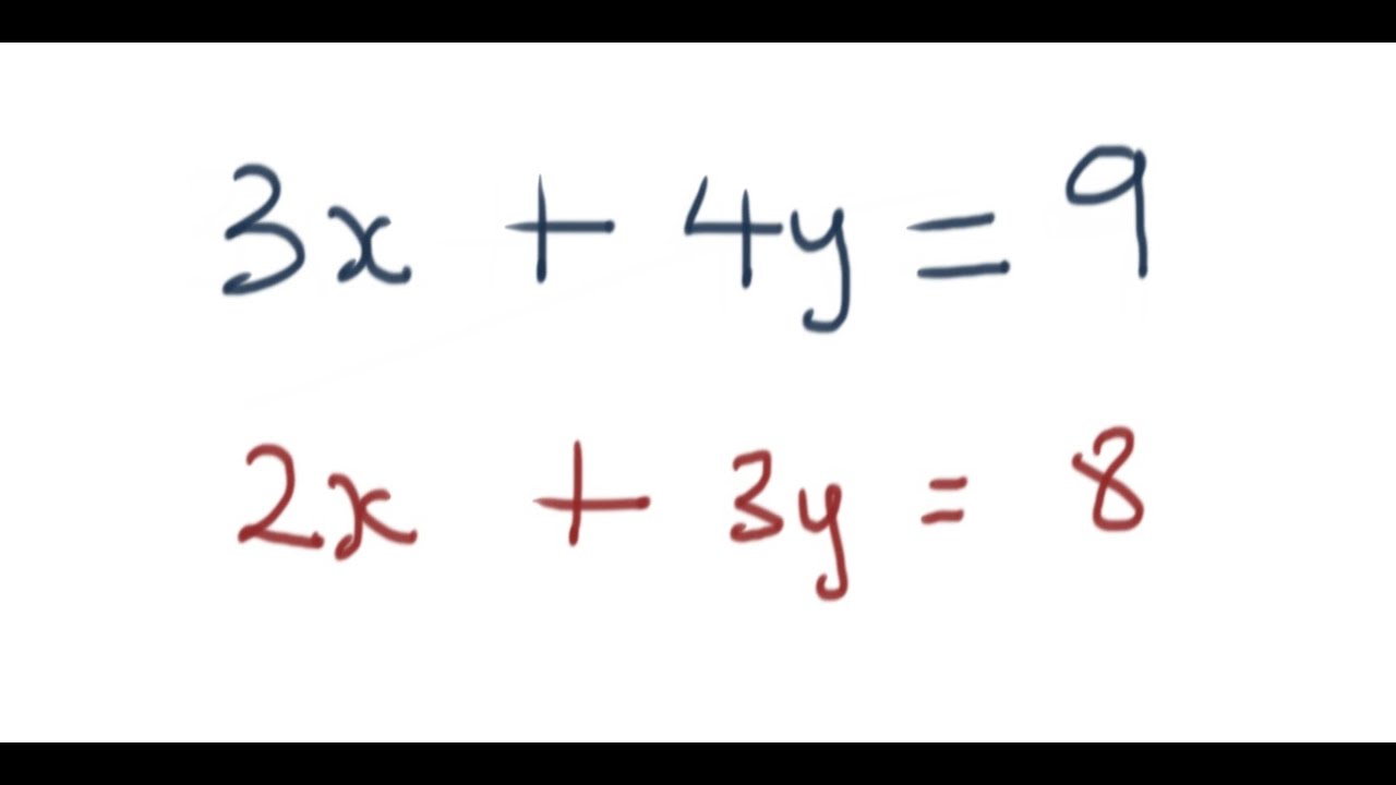
Discover the simplicity of solving simultaneous equations with the Elimination Method in this informative video tutorial. Our expert instructor guides you through the step-by-step process, breaking down complex equations into manageable steps.
Video Information
Views
15.5K
Likes
210
Duration
5:56
Published
Sep 5, 2023
User Reviews
4.5
(3) Related Trending Topics
LIVE TRENDSRelated trending topics. Click any trend to explore more videos.
Trending Now