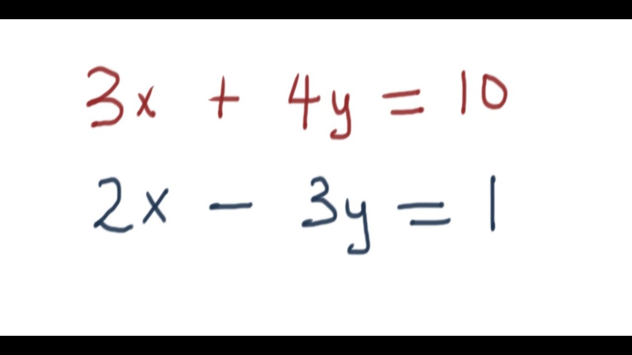
Solve Simultaneous Equations with Elimination Method
Learn how to solve simultaneous equations easily using the elimination method in this clear tutorial. ๐

THE ANALYST
3.8K views โข Sep 5, 2023

About this video
Unlock the power of the Elimination Method for solving simultaneous equations in this straightforward and accessible video tutorial. Our expert instructor provides a simple, step-by-step guide that anyone can follow.
Video Information
Views
3.8K
Likes
49
Duration
5:31
Published
Sep 5, 2023
User Reviews
4.4
(3) Related Trending Topics
LIVE TRENDSRelated trending topics. Click any trend to explore more videos.
Trending Now