مشكلة فك التشفير في خوارزمية هيل: تعلم في بضع دقائق
دعونا نبسط التعلم مع Dr. Sajithra Varun.

Few Minutes Learning
261 views • Nov 2, 2024

About this video
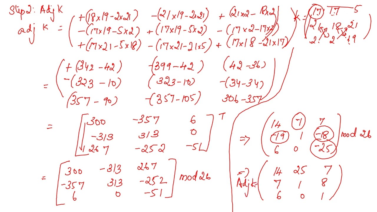
Hill Cipher Decryption Problem:
Lets make learning simpler using Few Minutes Learning with Dr.Sajithra Varun S
Telegram channel Link:https://t.me/fml12
Lets make learning simpler using Few Minutes Learning with Dr.Sajithra Varun S
Telegram channel Link:https://t.me/fml12
Tags and Topics
Browse our collection to discover more content in these categories.
Video Information
Views
261
Likes
5
Duration
23:48
Published
Nov 2, 2024
Related Trending Topics
LIVE TRENDSRelated trending topics. Click any trend to explore more videos.