Application of Definite Integrals
Lesson#1 Application of Definite Integrals Chapter No. 3 Integration Exercise No. 3.7 Mathematics part 2
🔥 Related Trending Topics
LIVE TRENDSThis video may be related to current global trending topics. Click any trend to explore more videos about what's hot right now!
THIS VIDEO IS TRENDING!
This video is currently trending in Singapore under the topic 'itoto system 12'.
About this video
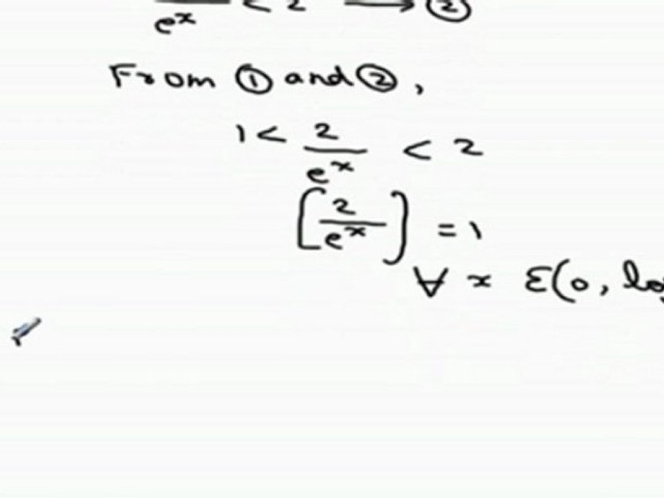
Lesson#1
Application of Definite Integrals
Chapter No. 3
Integration
Exercise No. 3.7
Mathematics
part 2
Application of Definite Integrals
Chapter No. 3
Integration
Exercise No. 3.7
Mathematics
part 2
Video Information
Views
22
Total views since publication
Duration
10:27
Video length
Published
Mar 28, 2016
Release date