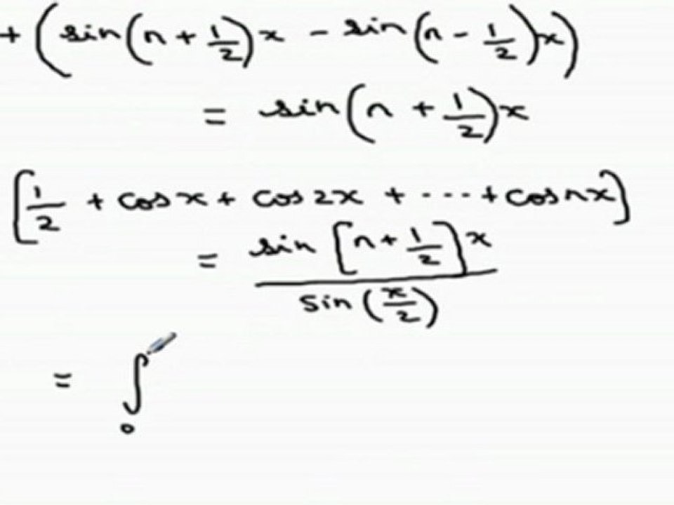
Calculus: Integral: Trigonometric Substitution quesion 2

Calculus: Integral: Trigonometric Substitution

analog1 views1:41

🔥 Related Trending Topics

LIVE TRENDS

This video may be related to current global trending topics. Click any trend to explore more videos about what's hot right now!

THIS VIDEO IS TRENDING!

This video is currently trending in Bangladesh under the topic 's'.

About this video

Calculus: Integral: Trigonometric Substitution

Video Information

Views
1

Total views since publication

Duration
1:41

Video length

Published
Jan 13, 2016

Release date

About the Channel