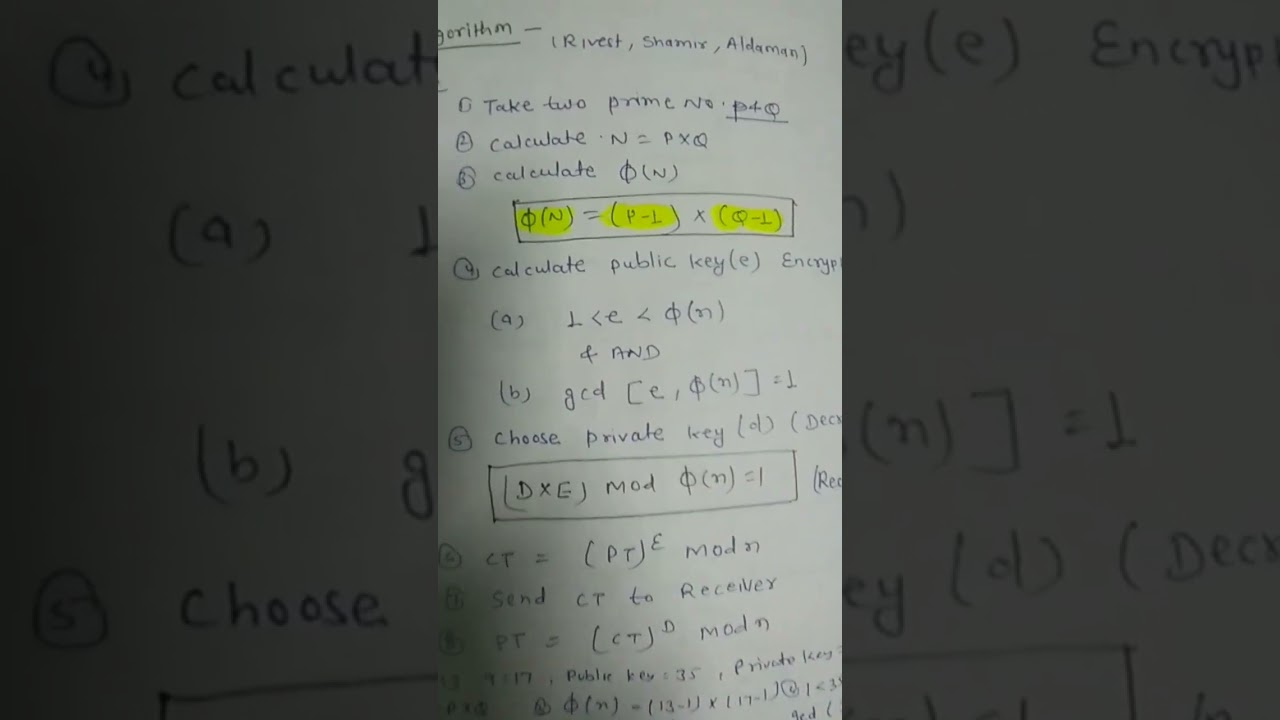
Understanding RSA: The Asymmetric Key Algorithm π
Discover how RSA encryption secures digital communication with its powerful asymmetric key algorithm. Learn the basics, how it works, and why it's essential for cybersecurity.

charvi study point
3.4K views β’ Jun 27, 2023

Video Information
Views
3.4K
Likes
26
Duration
0:18
Published
Jun 27, 2023
User Reviews
4.1
(3) Related Trending Topics
LIVE TRENDSRelated trending topics. Click any trend to explore more videos.
Trending Now