Top Four Visual Proofs of Mathematical Theorems
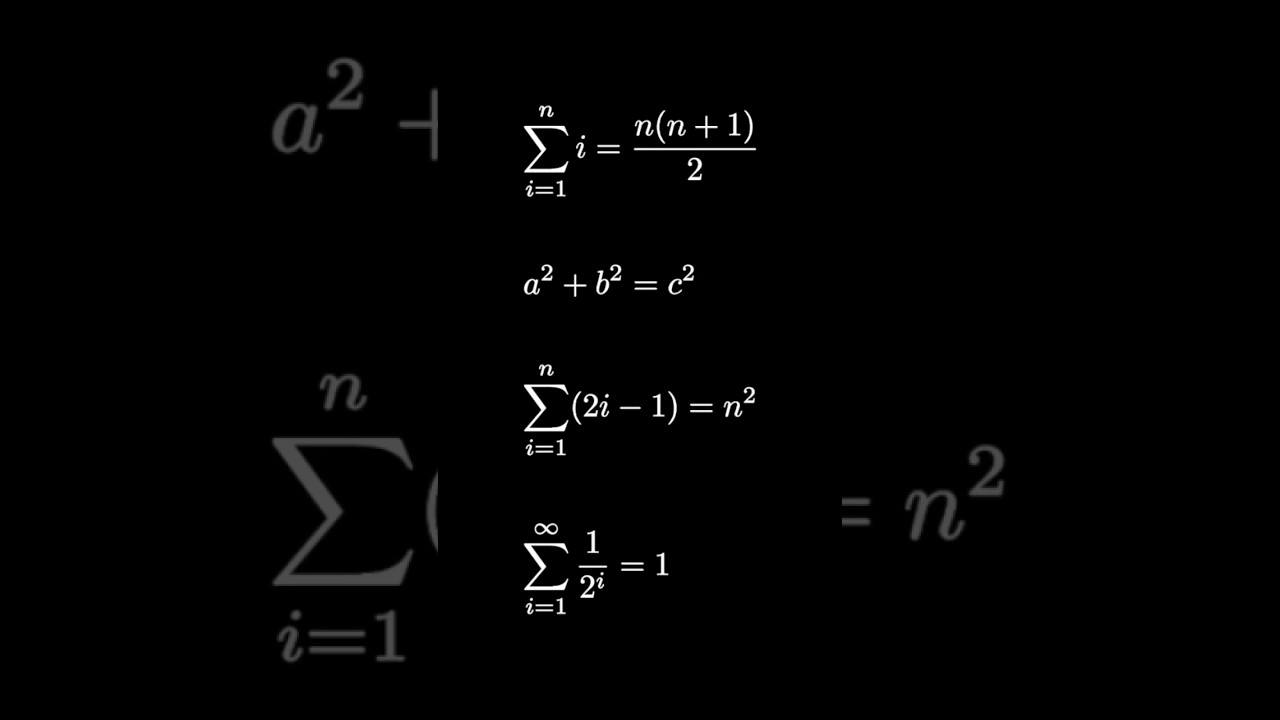
This short features animations of four renowned proofs presented without words, including the formula for the sum of the first n integers and the Pythagorean theorem.

Mathematical Visual Proofs
331.9K views โข Jul 10, 2024

About this video
In this short, we show animations of four of the most famous proofs without words: the formula for the sum of the first n integers; the pythagorean theorem using negative space/sliding rectangles/Chou pei suan ching; the formula for the sum of the first n odd integers; and the infinite geometric series of positive powers of 1/2 (using a rectangle/square dissection of a unit area square). We include brief justifications for these visual proofs.
If you like this video, consider subscribing to the channel or consider buying me a coffee: https://www.buymeacoffee.com/VisualProofs. Thanks!
For a slightly different version of this short without words, see:
https://youtube.com/shorts/eG72HxNceEs
For longer videos with related animations, see
Summing Integers: https://youtu.be/eHbtc50-qXo
Pythagorean Theorem: https://youtu.be/o2mbN452ywA (and old version: https://youtu.be/yfGtbNgcrQ8)
Summing Odds: https://youtu.be/I4A2T55k0cg
Geometric Series: https://youtu.be/JteQEN1XPyc
The first proof was known to the ancient greeks (cited by Martin Gardner), the second proof is adapted from the Chou pei suan ching (around 200 BCE according to Roger Nelsen), the third is attributed to Nicomachus of Gerasa by Roger Nelsen, and the final one is attributed to Warren Page (from the September 1981 issue of Mathematics Magazine, page 201 - https://www.jstor.org/stable/2689632 ). The first three can all be found in Roger Nelsen's first compendium, "Proofs Without Words: Exercises in Visual Thinking: https://bookstore.ams.org/view?ProductCode=CLRM/1 .
#math #manim #pythagoreantheorem #pythagorean #triangle #animation #theorem #pww #proofwithoutwords #visualproof #proof #mathshorts #mathvideo #geometricseries #infiniteseries #finitesums #infinitesums #oddsumformula #sumsofintegers #sums #shorts
To learn more about animating with manim, check out:
https://manim.community
If you like this video, consider subscribing to the channel or consider buying me a coffee: https://www.buymeacoffee.com/VisualProofs. Thanks!
For a slightly different version of this short without words, see:
https://youtube.com/shorts/eG72HxNceEs
For longer videos with related animations, see
Summing Integers: https://youtu.be/eHbtc50-qXo
Pythagorean Theorem: https://youtu.be/o2mbN452ywA (and old version: https://youtu.be/yfGtbNgcrQ8)
Summing Odds: https://youtu.be/I4A2T55k0cg
Geometric Series: https://youtu.be/JteQEN1XPyc
The first proof was known to the ancient greeks (cited by Martin Gardner), the second proof is adapted from the Chou pei suan ching (around 200 BCE according to Roger Nelsen), the third is attributed to Nicomachus of Gerasa by Roger Nelsen, and the final one is attributed to Warren Page (from the September 1981 issue of Mathematics Magazine, page 201 - https://www.jstor.org/stable/2689632 ). The first three can all be found in Roger Nelsen's first compendium, "Proofs Without Words: Exercises in Visual Thinking: https://bookstore.ams.org/view?ProductCode=CLRM/1 .
#math #manim #pythagoreantheorem #pythagorean #triangle #animation #theorem #pww #proofwithoutwords #visualproof #proof #mathshorts #mathvideo #geometricseries #infiniteseries #finitesums #infinitesums #oddsumformula #sumsofintegers #sums #shorts
To learn more about animating with manim, check out:
https://manim.community
Tags and Topics
Browse our collection to discover more content in these categories.
Video Information
Views
331.9K
Likes
19.7K
Duration
0:57
Published
Jul 10, 2024
User Reviews
4.8
(66) Related Trending Topics
LIVE TRENDSRelated trending topics. Click any trend to explore more videos.
Trending Now