Peano Arithmetic Explained ๐
Learn about Peano arithmetic, the foundation for natural numbers, after understanding natural numbers in this informative video.

Elliot Nicholson
5.0K views โข Oct 24, 2020

About this video
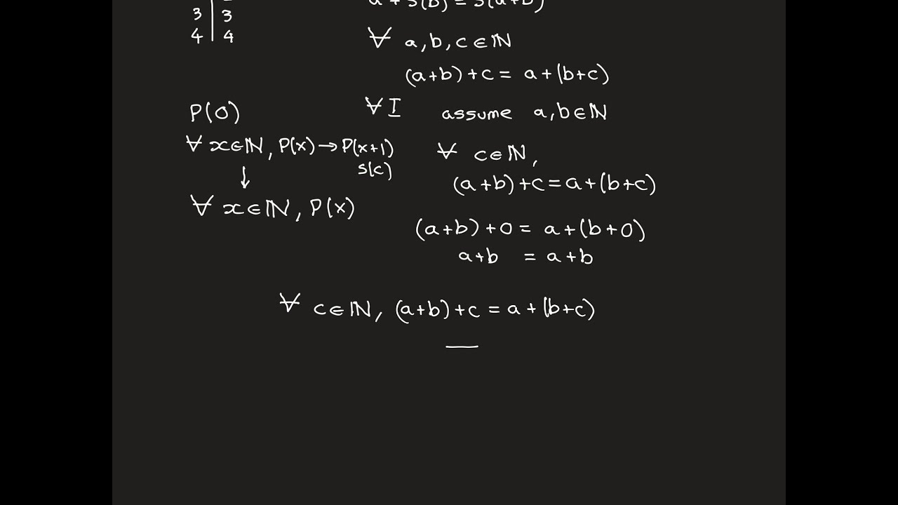
The Peano arithmetic is another name for the arithmetic of the natural numbers. This video is intended to be watched after the video on the natural numbers (in the playlist on Set Theory) as it builds on theory introduced there. In this video we prove that the addition law on the natural numbers is associative and commutative. We then move on to prove that the multiplication law is associative, commutative and distributive. All of this is proved using induction.
Tags and Topics
Browse our collection to discover more content in these categories.
Video Information
Views
5.0K
Likes
103
Duration
01:06:45
Published
Oct 24, 2020
User Reviews
4.6
(4) Related Trending Topics
LIVE TRENDSRelated trending topics. Click any trend to explore more videos.
Trending Now