SPM Form 4 Add Maths: Function (Substitution Method) π
Learn how to solve composite functions using the substitution method in this helpful SPM Form 4 Add Maths tutorial.

Y=mx+c
4.4K views β’ Feb 21, 2014

About this video
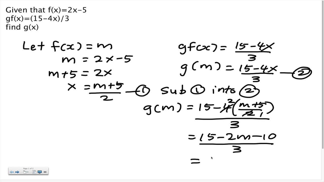
This kind of question is a little different and slightly harder compare to other composite function question. I really hope this video can help you understand better how to solve this kind of question. Thanks for watching.
Tags and Topics
Browse our collection to discover more content in these categories.
Video Information
Views
4.4K
Likes
51
Duration
5:57
Published
Feb 21, 2014
User Reviews
4.3
(4) Related Trending Topics
LIVE TRENDSRelated trending topics. Click any trend to explore more videos.
Trending Now