Proof of Contracting the Extended Euclidean Algorithm
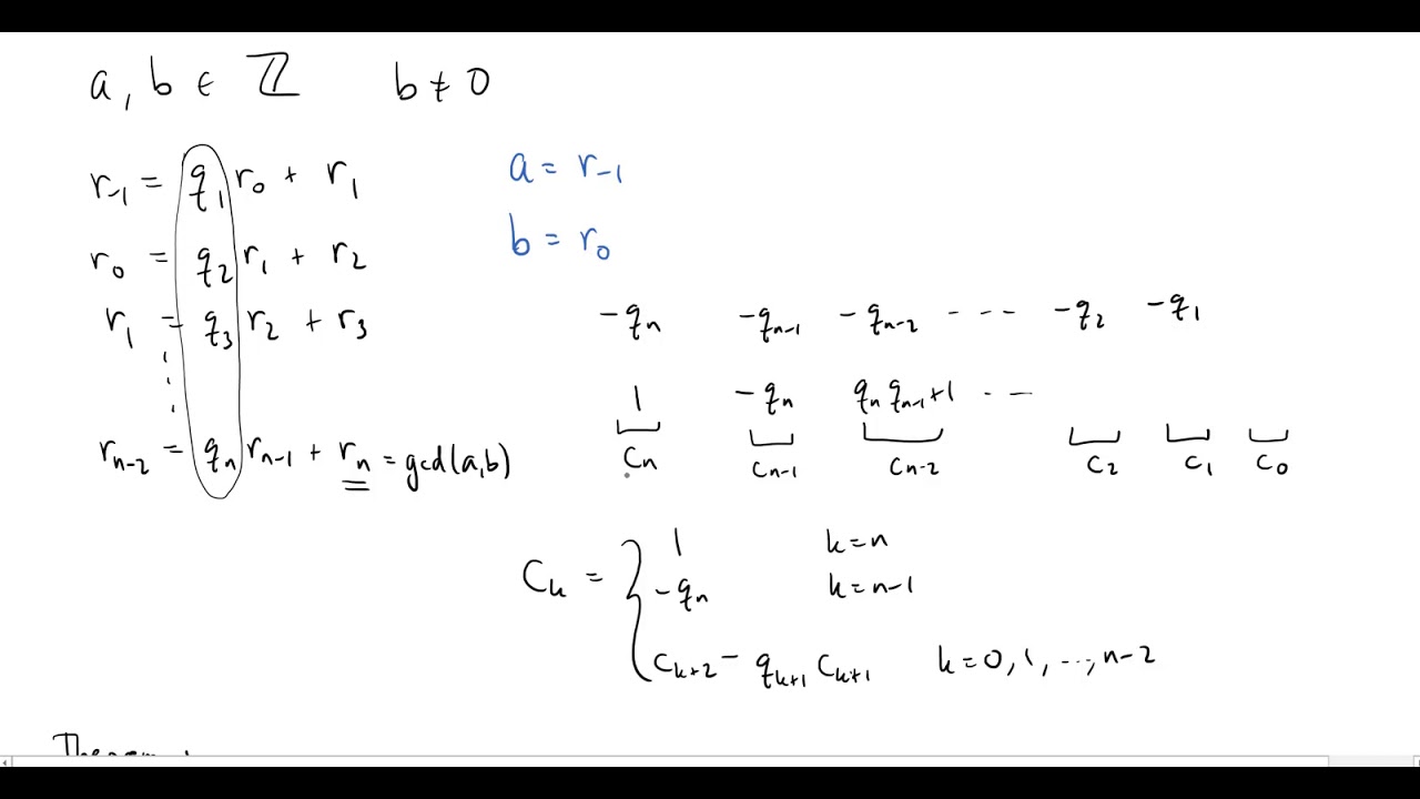
This proof demonstrates that the graphical organizing tool from https://youtu.be/3EYyEkL1lJw accurately computes the Bézout coefficients, confirming its correctness.

Adam Glesser
991 views • Mar 13, 2021

About this video
We prove the graphical organizing tool from:
https://youtu.be/3EYyEkL1lJw
will in fact give the Bézout coefficients as promised.
https://youtu.be/3EYyEkL1lJw
will in fact give the Bézout coefficients as promised.
Tags and Topics
Browse our collection to discover more content in these categories.
Video Information
Views
991
Likes
8
Duration
15:24
Published
Mar 13, 2021
Related Trending Topics
LIVE TRENDSRelated trending topics. Click any trend to explore more videos.
Trending Now