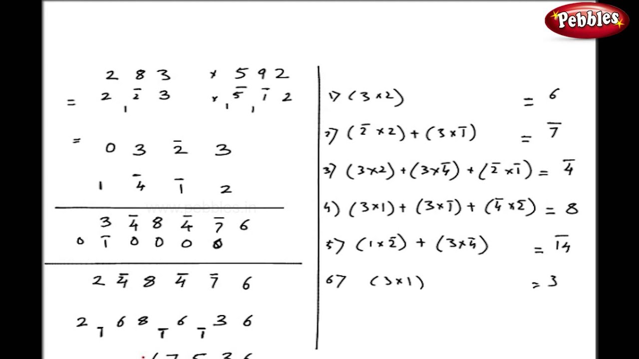
Multiplication Criss Cross and Runank | Vedic Maths Tricks for Kids
Pebbles presents Vedic Maths Tricks for Kids, focusing on speed multiplication techniques like Criss Cross and Runank. Ideal for children to enhance their mental math skills through engaging methods.

Pebbles Kids Learning
1.1K views • Nov 24, 2015

About this video
Pebbles present Vedic Maths Tricks For Kids, Speed Maths Tricks For Children.
Pebbles also offers a variety of other stories such as Grandma Stories, Grandpa Stories for kids, Moral Stories for kids, Animal Stories for Kids, Jungle Stories for kids, Panchatantra Stories for Children, Birbal the Wise, Tenali Raman, Fairy Tales and many more.
The most popular, interesting & ancient stories for babies, nursery kids & children of all age groups by Pebbles Kids Learning Channel.
Pebbles Learn Vedic Maths Tricks contains the following Videos
Multiplication Criss Cross Method 2 Digits, Multiplication Criss Cross Method 3 Digits, Multiplication Criss Cross Method 4 Digits, Multiplication Criss Cross Method 5 Digits, Multiplication Criss Cross Method Examples, Multiplication Nikhilam Method, Multiplication Nikhilam Method Examples, Multiplication Special Case 1, Multiplication Special Case 2, Multiplication Special Case 3, Multiplication Anurupyena, Multiplication Runank, Multiplication Criss Cross and Runank, Square Type 1, Square Type 2, Square Type 3, Division¸Division Examples, Division Nikhilam and Anurupyena, Division Nikhilam and Runank, Magic Square, Square Roots Type 1, Square Roots Type 2, Cubes, Cube Roots, Vedic Maths Addition, Vedic Maths Subtraction
View the Video –https://youtu.be/zMMyD6X3OgQ
Visit Pebbles Official Website - http://www.pebbles.in
Subscribe to our Channel –
https://www.youtube.com/user/PebblesKidsLearning?sub_confirmation=1
Engage with us on Facebook at https://www.facebook.com/PebblesChennai
Please Like, Share, Comment & Subscribe
Pebbles also offers a variety of other stories such as Grandma Stories, Grandpa Stories for kids, Moral Stories for kids, Animal Stories for Kids, Jungle Stories for kids, Panchatantra Stories for Children, Birbal the Wise, Tenali Raman, Fairy Tales and many more.
The most popular, interesting & ancient stories for babies, nursery kids & children of all age groups by Pebbles Kids Learning Channel.
Pebbles Learn Vedic Maths Tricks contains the following Videos
Multiplication Criss Cross Method 2 Digits, Multiplication Criss Cross Method 3 Digits, Multiplication Criss Cross Method 4 Digits, Multiplication Criss Cross Method 5 Digits, Multiplication Criss Cross Method Examples, Multiplication Nikhilam Method, Multiplication Nikhilam Method Examples, Multiplication Special Case 1, Multiplication Special Case 2, Multiplication Special Case 3, Multiplication Anurupyena, Multiplication Runank, Multiplication Criss Cross and Runank, Square Type 1, Square Type 2, Square Type 3, Division¸Division Examples, Division Nikhilam and Anurupyena, Division Nikhilam and Runank, Magic Square, Square Roots Type 1, Square Roots Type 2, Cubes, Cube Roots, Vedic Maths Addition, Vedic Maths Subtraction
View the Video –https://youtu.be/zMMyD6X3OgQ
Visit Pebbles Official Website - http://www.pebbles.in
Subscribe to our Channel –
https://www.youtube.com/user/PebblesKidsLearning?sub_confirmation=1
Engage with us on Facebook at https://www.facebook.com/PebblesChennai
Please Like, Share, Comment & Subscribe
Tags and Topics
Browse our collection to discover more content in these categories.
Video Information
Views
1.1K
Likes
12
Duration
8:14
Published
Nov 24, 2015
User Reviews
4.3
(1) Related Trending Topics
LIVE TRENDSRelated trending topics. Click any trend to explore more videos.
Trending Now