Mastering Euclid's Algorithm to Find the GCD Easily 🧮
Learn how Euclid's Algorithm efficiently calculates the Greatest Common Divisor (GCD) of two numbers using simple division properties. Perfect for students and math enthusiasts!

Gaurav Sen
10.3K views • Apr 8, 2018

About this video
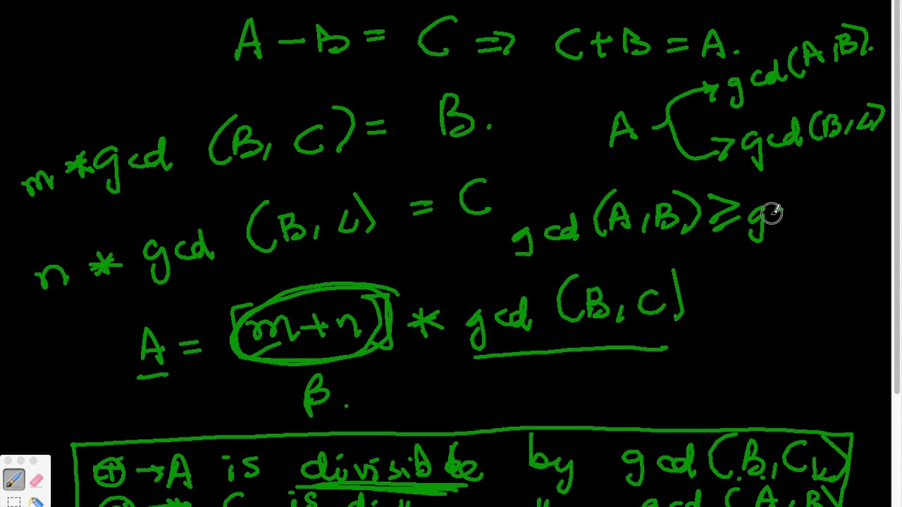
The Euclid's algorithm is widely used to find the GCD, short for Greatest Common Factor, of numbers. It uses interesting mathematical properties of division and remainders to find the answer.
Here we prove the GCD algorithm once again to bring clarity to Euclid's method of dividing the larger number by the smaller one and setting the new parameters to the smaller and remaining number.
Check out these videos on the code for the algorithm (https://youtu.be/80pOI0_BXyk) and an exciting question (https://youtu.be/D-DYtUmRMa4)!
Code:
https://github.com/gkcs/Competitive-Programming/blob/master/src/main/java/main/java/videos/GCD.java
Codechef Problem:
https://www.codechef.com/problems/GCDQ
References:
https://brilliant.org/wiki/greatest-common-divisor/
https://www.khanacademy.org/computing/computer-science/cryptography/modarithmetic/a/the-euclidean-algorithm
https://ocw.mit.edu/courses/electrical-engineering-and-computer-science/6-042j-mathematics-for-computer-science-fall-2010/readings/MIT6_042JF10_chap04.pdf
Here we prove the GCD algorithm once again to bring clarity to Euclid's method of dividing the larger number by the smaller one and setting the new parameters to the smaller and remaining number.
Check out these videos on the code for the algorithm (https://youtu.be/80pOI0_BXyk) and an exciting question (https://youtu.be/D-DYtUmRMa4)!
Code:
https://github.com/gkcs/Competitive-Programming/blob/master/src/main/java/main/java/videos/GCD.java
Codechef Problem:
https://www.codechef.com/problems/GCDQ
References:
https://brilliant.org/wiki/greatest-common-divisor/
https://www.khanacademy.org/computing/computer-science/cryptography/modarithmetic/a/the-euclidean-algorithm
https://ocw.mit.edu/courses/electrical-engineering-and-computer-science/6-042j-mathematics-for-computer-science-fall-2010/readings/MIT6_042JF10_chap04.pdf
Tags and Topics
Browse our collection to discover more content in these categories.
Video Information
Views
10.3K
Likes
146
Duration
7:15
Published
Apr 8, 2018
User Reviews
4.5
(2) Related Trending Topics
LIVE TRENDSRelated trending topics. Click any trend to explore more videos.
Trending Now