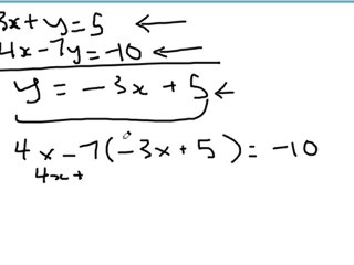
Master the Substitution Method for Solving Algebra 1 Systems of Equations ๐Ÿ“š

Learn step-by-step techniques to solve systems of equations using substitution. Visit http://www.mathonlinework.com/tutorials for more Algebra 1 tutorials and improve your math skills!

Master the Substitution Method for Solving Algebra 1 Systems of Equations ๐Ÿ“š
CelebritiesInJail
956 views โ€ข May 15, 2010
Master the Substitution Method for Solving Algebra 1 Systems of Equations ๐Ÿ“š

About this video

Algebra 1 System of Equations Substitution Method tutorial help. Visit http://www.mathonlinework.com/tutorials for more Pre-Algebra/Algebra 1 tutorials.

Video Information

Views

956

Duration

2:11

Published

May 15, 2010

Related Trending Topics

LIVE TRENDS

Related trending topics. Click any trend to explore more videos.