Master Fermat's Little Theorem with Easy Examples π
Discover simple and clear examples of Fermat's Little Theorem to boost your understanding of this fundamental number theory concept.

Turnupmath
74 views β’ Jul 23, 2021

About this video
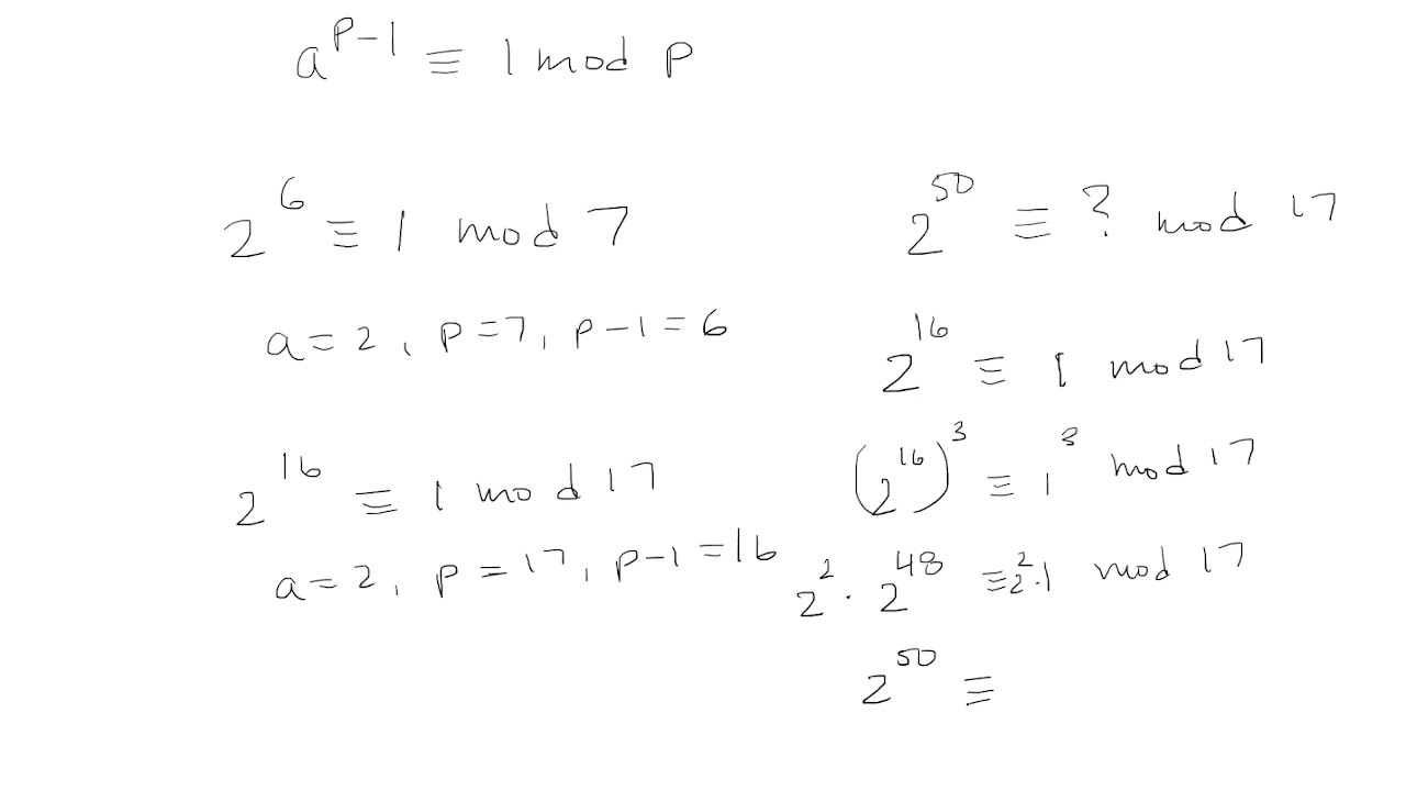
Fermat's Little Theorem Examples
Video Information
Views
74
Likes
1
Duration
4:21
Published
Jul 23, 2021
Related Trending Topics
LIVE TRENDSRelated trending topics. Click any trend to explore more videos.