Lec 4 Lecture 4: Turing Machine Example 2
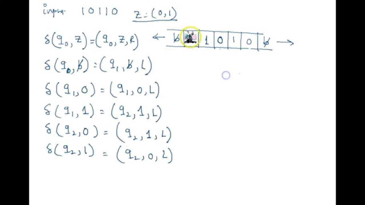
In this example, we construct an I/O Turing Machine that outputs the 2's complement of a binary string present on the tape.

Shibaji Paul
25.1K views β’ May 21, 2015

About this video
In this example we construct an IO TM that outputs 2's complement of a binary string in tape.
Tags and Topics
Browse our collection to discover more content in these categories.
Video Information
Views
25.1K
Likes
73
Duration
8:00
Published
May 21, 2015
User Reviews
4.0
(5) Related Trending Topics
LIVE TRENDSRelated trending topics. Click any trend to explore more videos.
Trending Now