How to Mix HCl Solutions to Achieve 0.2 M Concentration 🧪
Learn the step-by-step process to combine 0.5 M and 0.1 M HCl solutions to prepare 2 liters of 0.2 M HCl. Perfect for chemistry students and lab enthusiasts!

Doubtnut
343 views • Jul 24, 2023

About this video
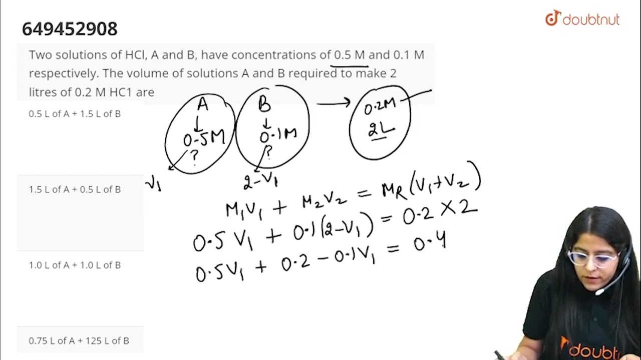
Two solutions of HCl, A and B, have concentrations of 0.5 M and 0.1 M respectively. The volume of solutions A and B required to make 2 litres of 0.2 M HC1 are
Class: 11
Subject: CHEMISTRY
Chapter: MOLE CONCEPTS
Board:INTERNAL
You can ask any doubt from class 6-12, JEE, NEET, Teaching, SSC, Defense and Banking exam on Doubtnut App or You can Whatsapp us at - 8400400400
Link - https://doubtnut.app.link/2um0jr7Joeb
Join our courses to improve your performance and Clear your concepts from basic for Class 6-12 School and Competitive exams (JEE/NEET) - https://doubtnut.app.link/POyZDvv5Lyb
Contact Us:
👉 Have Any Query? Ask Us.
🤙 Call: 01247158250
💬 WhatsApp: 8400400400
📧 Email: info@doubtnut.com
🌐 Website: https://www.doubtnut.com
Welcome to Doubtnut.
Doubtnut is World’s Biggest Platform for Video Solutions of Physics, Chemistry, Maths and Biology Doubts with over 5 million+ Video Solutions. Doubtnut is a Q&A App for Maths, Physics, Chemistry and Biology (up to JEE Advanced and NEET Level), Where You Can Ask Unlimited Questions by Clicking a Picture of Doubt on the Doubtnut App and Get Instant Video Solution.
Subscribe Our YouTube Channels:
✿ Doubtnut: https://www.youtube.com/channel/UCcv7pspGHmM7AOywuLM1ufA?sub_confirmation=1
✿ Class 11-12, JEE & NEET (Hindi): https://www.youtube.com/channel/UCiIrZf4bn1i0IOf8YgSMzWA?sub_confirmation=1
✿ Class 11-12, JEE & NEET (English):: https://www.youtube.com/channel/UCbJ_xe2bMLo9yuBC-i_13MQ?sub_confirmation=1
✿ Class 6-10 (Hindi): https://www.youtube.com/channel/UCZnV1hkn5A3fdpTOVi60tzg?sub_confirmation=1
✿ Class 6-10 (English): https://www.youtube.com/channel/UC9KeHSWOEBXIrbWYasHeSyg?sub_confirmation=1
✿ Doubtnut Govt. Exams: https://www.youtube.com/channel/UCWPaROsU_06MSqiZ_O6zaVg?sub_confirmation=1
Follow Us:
🔔 Facebook: https://www.facebook.com/doubtnut
🔔 Instagram: https://www.instagram.com/doubtnut
🔔 Telegram: https://t.me/DoubtnutOfficial
🔔 Twitter: https://twitter.com/DoubtnutApp
🔔 LinkedIn: https://www.linkedin.com/company/doubtnut
Our Telegram Pages:
🔔 Doubtnut Official: https://t.me/DoubtnutOfficial
🔔 Doubtnut IIT JEE: https://t.me/DoubtnutIITJEE
🔔 Doubtnut NEET: https://t.me/Doubtnut_NEET
🔔 Doubtnut CBSE Boards: https://t.me/DoubtnutCBSEBoards
🔔 Doubtnut UP Boards: https://t.me/DoubtnutUPBoards
🔔 Doubtnut Bihar Boards: https://t.me/DoubtnutBiharBoards
🔔 Doubtnut Government Exams: https://t.me/DoubtnutGovernmentExams
class 11
class 11 organic chemistry
class 11 physics
class 11 chemistry
class 11 maths
class 11 english
class 11 economics
class 11 biology
class 11 statistics
class 11 syllabus physics
class 11 commerce
class 11 syllabus chemistry
class 11 ncert economics
class 11 ncert
class 11 syllabus cbse
class 11 syllabus maths
cbse class 11
class 11 english grammar
class 11 syllabus
class 11 science
class 11 syllabus english
class 11 syllabus 2020-21
cbse class 11 maths
cbse class 11 physics
cbse class 11 books
cbse class 11 english
cbse class 11 chemistry
cbse class 11 biology
cbse class 11 accountancy
cbse class 11 commerce
cbse class 11 science
class 11 syllabus biology
cbse class 11 statistics
class 11 syllabus ncert
class 11 syllabus of english
class 11 syllabus science
class 11 syllabus commerce
Class: 11
Subject: CHEMISTRY
Chapter: MOLE CONCEPTS
Board:INTERNAL
You can ask any doubt from class 6-12, JEE, NEET, Teaching, SSC, Defense and Banking exam on Doubtnut App or You can Whatsapp us at - 8400400400
Link - https://doubtnut.app.link/2um0jr7Joeb
Join our courses to improve your performance and Clear your concepts from basic for Class 6-12 School and Competitive exams (JEE/NEET) - https://doubtnut.app.link/POyZDvv5Lyb
Contact Us:
👉 Have Any Query? Ask Us.
🤙 Call: 01247158250
💬 WhatsApp: 8400400400
📧 Email: info@doubtnut.com
🌐 Website: https://www.doubtnut.com
Welcome to Doubtnut.
Doubtnut is World’s Biggest Platform for Video Solutions of Physics, Chemistry, Maths and Biology Doubts with over 5 million+ Video Solutions. Doubtnut is a Q&A App for Maths, Physics, Chemistry and Biology (up to JEE Advanced and NEET Level), Where You Can Ask Unlimited Questions by Clicking a Picture of Doubt on the Doubtnut App and Get Instant Video Solution.
Subscribe Our YouTube Channels:
✿ Doubtnut: https://www.youtube.com/channel/UCcv7pspGHmM7AOywuLM1ufA?sub_confirmation=1
✿ Class 11-12, JEE & NEET (Hindi): https://www.youtube.com/channel/UCiIrZf4bn1i0IOf8YgSMzWA?sub_confirmation=1
✿ Class 11-12, JEE & NEET (English):: https://www.youtube.com/channel/UCbJ_xe2bMLo9yuBC-i_13MQ?sub_confirmation=1
✿ Class 6-10 (Hindi): https://www.youtube.com/channel/UCZnV1hkn5A3fdpTOVi60tzg?sub_confirmation=1
✿ Class 6-10 (English): https://www.youtube.com/channel/UC9KeHSWOEBXIrbWYasHeSyg?sub_confirmation=1
✿ Doubtnut Govt. Exams: https://www.youtube.com/channel/UCWPaROsU_06MSqiZ_O6zaVg?sub_confirmation=1
Follow Us:
🔔 Facebook: https://www.facebook.com/doubtnut
🔔 Instagram: https://www.instagram.com/doubtnut
🔔 Telegram: https://t.me/DoubtnutOfficial
🔔 Twitter: https://twitter.com/DoubtnutApp
🔔 LinkedIn: https://www.linkedin.com/company/doubtnut
Our Telegram Pages:
🔔 Doubtnut Official: https://t.me/DoubtnutOfficial
🔔 Doubtnut IIT JEE: https://t.me/DoubtnutIITJEE
🔔 Doubtnut NEET: https://t.me/Doubtnut_NEET
🔔 Doubtnut CBSE Boards: https://t.me/DoubtnutCBSEBoards
🔔 Doubtnut UP Boards: https://t.me/DoubtnutUPBoards
🔔 Doubtnut Bihar Boards: https://t.me/DoubtnutBiharBoards
🔔 Doubtnut Government Exams: https://t.me/DoubtnutGovernmentExams
class 11
class 11 organic chemistry
class 11 physics
class 11 chemistry
class 11 maths
class 11 english
class 11 economics
class 11 biology
class 11 statistics
class 11 syllabus physics
class 11 commerce
class 11 syllabus chemistry
class 11 ncert economics
class 11 ncert
class 11 syllabus cbse
class 11 syllabus maths
cbse class 11
class 11 english grammar
class 11 syllabus
class 11 science
class 11 syllabus english
class 11 syllabus 2020-21
cbse class 11 maths
cbse class 11 physics
cbse class 11 books
cbse class 11 english
cbse class 11 chemistry
cbse class 11 biology
cbse class 11 accountancy
cbse class 11 commerce
cbse class 11 science
class 11 syllabus biology
cbse class 11 statistics
class 11 syllabus ncert
class 11 syllabus of english
class 11 syllabus science
class 11 syllabus commerce
Video Information
Views
343
Likes
7
Duration
2:55
Published
Jul 24, 2023
Related Trending Topics
LIVE TRENDSRelated trending topics. Click any trend to explore more videos.
Trending Now