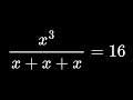
Germany | Challenging Algebra Problem with Step-by-Step Solution ๐งฎ
Tackle a tough algebra problem from Germany's Math Olympiad with our detailed, easy-to-follow solution. Perfect for exam prep and math enthusiasts!

Brain Booster
480 views โข Sep 14, 2025

About this video
Master tricky algebra problems with this detailed step by step solution! Whether you're preparing for a Math Olympiad, competitive exams, or simply want to improve your algebra skills, this video breaks down complex questions into easy-to-understand steps. Perfect for high school students, math enthusiasts, and problem solvers aiming for clarity and confidence in mathematics.
๐ Learn how to approach advanced algebra problems
๐ Boost your problem-solving techniques for competitions
๐ Great for Olympiad training and entrance exams
๐ Keywords: algebra, step by step solution, math olympiad, algebra problem solving, competitive math, math tricks, math tutorial, advanced algebra, olympiad math problems, high school math
๐ Donโt forget to like, share, and subscribe for more math problem-solving videos every day!
๐ Learn how to approach advanced algebra problems
๐ Boost your problem-solving techniques for competitions
๐ Great for Olympiad training and entrance exams
๐ Keywords: algebra, step by step solution, math olympiad, algebra problem solving, competitive math, math tricks, math tutorial, advanced algebra, olympiad math problems, high school math
๐ Donโt forget to like, share, and subscribe for more math problem-solving videos every day!
Video Information
Views
480
Likes
10
Duration
3:18
Published
Sep 14, 2025
Related Trending Topics
LIVE TRENDSRelated trending topics. Click any trend to explore more videos.
Trending Now