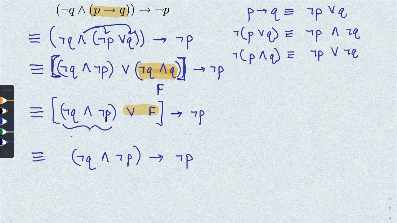
Demonstrating a Tautology Through Logical Equivalences
This article explores the process of proving a tautology by applying various logical equivalences, providing a clear understanding of the underlying principles.

Jason Malozzi
171.3K views โข Jan 3, 2021

Video Information
Views
171.3K
Likes
2.5K
Duration
6:24
Published
Jan 3, 2021
User Reviews
4.7
(34) Related Trending Topics
LIVE TRENDSRelated trending topics. Click any trend to explore more videos.