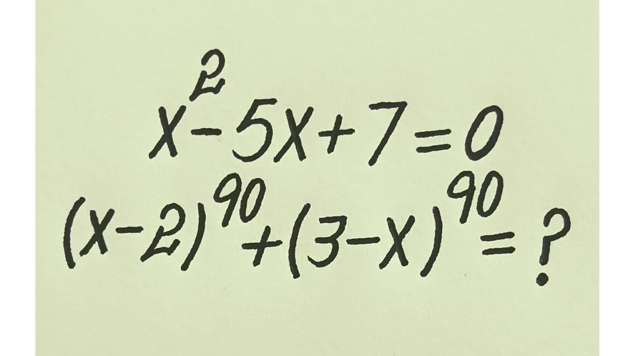
Challenging Olympiad Math Problem Solution
In this video, I demonstrate the solution to a particularly difficult math problem from the Olympiad. Join me as I break down the steps and concepts involved. If you find this helpful, please like and subscribe to my channel for more educational content.

Math Master TV
1.5K views • Nov 4, 2025

About this video
Hello my Wonderful family 😍
Trust you're doing fine 💕
If you like this video on how to solve this nice Math Problem, like and Subscribe to my channel for me exciting videos 💥
Harvard University Entrance Question
Math Olympiad, Algebra, Simplification, Germany Math Olympiad,Math problem-solving, Grade 8 Maths, Grade 9 Maths, Nice Square Root Simplification, Japanese Can you solve, Imo Class 7, Imo Olympiad Class 7, Advanced math concepts,Math competition,Waec, Find the Value of X,Math Olympiad strategies,Challenging Math problems, How to Differentiate, How to Integrate, Thailand junior math Olympiad Problem,
Calculus,Algebraic expressions,Mathematics education,Math Olympiad questions, Math short trick, best youtube chennal for maths olympiad, competitive math, imo olympiad, only genius can solve this math problem, Impossible math problem, math magic tricks, new math tricks 2024,how to solve math problem quickly, russian mathematics,competitive math, german Olympiad math problem,math magic tricks mind reading,math and science Olympiad,Real number Olympiad, imo algebra problem, Math Olympiad Traning, Hardest Olympiad Problem,International math Olympiad prepration,best youtube channel for maths olympiad,Math Olympiad hardest problem,Math Olympiad channel,state level maths olympiad, math Olympiad elementary school problem,Indian national mathematical olympiad,genius cerebrum math Olympiad,ai math Olympiad,science and math Olympiad,olympiad study,national math Olympiad questions,international mathematics olympiad, maths olympiad for college students, Exponents and powers olympiad questions,math olympiad lectures,competitive mathematical books,functional equations olympiads, olympiad,math olympiad Tricky question,Complex number Olympiad Problem, mathematical induction olympiad,unified international mathematics olympiad,math class for competitive exams,how to learn olympiad Math,math class for 4th standard,international finance olympiad,math tricks youtube chennal,complete math for competitive exams,ameriacan mathematics competition,school house rock 5 multiplication,mathematics teacher association,how to become master in math,math olympiad foundation,Mathmastertv
#matholympiad#education#algebra#math#simplification#Exponents#vedicmath#viralmathproblem #howto#mathematics#viral #mathematicslesson#calculus#harvard#mathfocus#statistics#exponentialfunction#mathchallange#advancemath #Mathmastertv
Trust you're doing fine 💕
If you like this video on how to solve this nice Math Problem, like and Subscribe to my channel for me exciting videos 💥
Harvard University Entrance Question
Math Olympiad, Algebra, Simplification, Germany Math Olympiad,Math problem-solving, Grade 8 Maths, Grade 9 Maths, Nice Square Root Simplification, Japanese Can you solve, Imo Class 7, Imo Olympiad Class 7, Advanced math concepts,Math competition,Waec, Find the Value of X,Math Olympiad strategies,Challenging Math problems, How to Differentiate, How to Integrate, Thailand junior math Olympiad Problem,
Calculus,Algebraic expressions,Mathematics education,Math Olympiad questions, Math short trick, best youtube chennal for maths olympiad, competitive math, imo olympiad, only genius can solve this math problem, Impossible math problem, math magic tricks, new math tricks 2024,how to solve math problem quickly, russian mathematics,competitive math, german Olympiad math problem,math magic tricks mind reading,math and science Olympiad,Real number Olympiad, imo algebra problem, Math Olympiad Traning, Hardest Olympiad Problem,International math Olympiad prepration,best youtube channel for maths olympiad,Math Olympiad hardest problem,Math Olympiad channel,state level maths olympiad, math Olympiad elementary school problem,Indian national mathematical olympiad,genius cerebrum math Olympiad,ai math Olympiad,science and math Olympiad,olympiad study,national math Olympiad questions,international mathematics olympiad, maths olympiad for college students, Exponents and powers olympiad questions,math olympiad lectures,competitive mathematical books,functional equations olympiads, olympiad,math olympiad Tricky question,Complex number Olympiad Problem, mathematical induction olympiad,unified international mathematics olympiad,math class for competitive exams,how to learn olympiad Math,math class for 4th standard,international finance olympiad,math tricks youtube chennal,complete math for competitive exams,ameriacan mathematics competition,school house rock 5 multiplication,mathematics teacher association,how to become master in math,math olympiad foundation,Mathmastertv
#matholympiad#education#algebra#math#simplification#Exponents#vedicmath#viralmathproblem #howto#mathematics#viral #mathematicslesson#calculus#harvard#mathfocus#statistics#exponentialfunction#mathchallange#advancemath #Mathmastertv
Tags and Topics
Browse our collection to discover more content in these categories.
Video Information
Views
1.5K
Likes
20
Duration
18:30
Published
Nov 4, 2025
User Reviews
4.4
(1) Related Trending Topics
LIVE TRENDSRelated trending topics. Click any trend to explore more videos.