Adding & Subtracting Polynomial Functions π
Learn how to add and subtract polynomial functions step-by-step with easy examples.

Jon Anderson
980 views β’ Dec 21, 2012

About this video
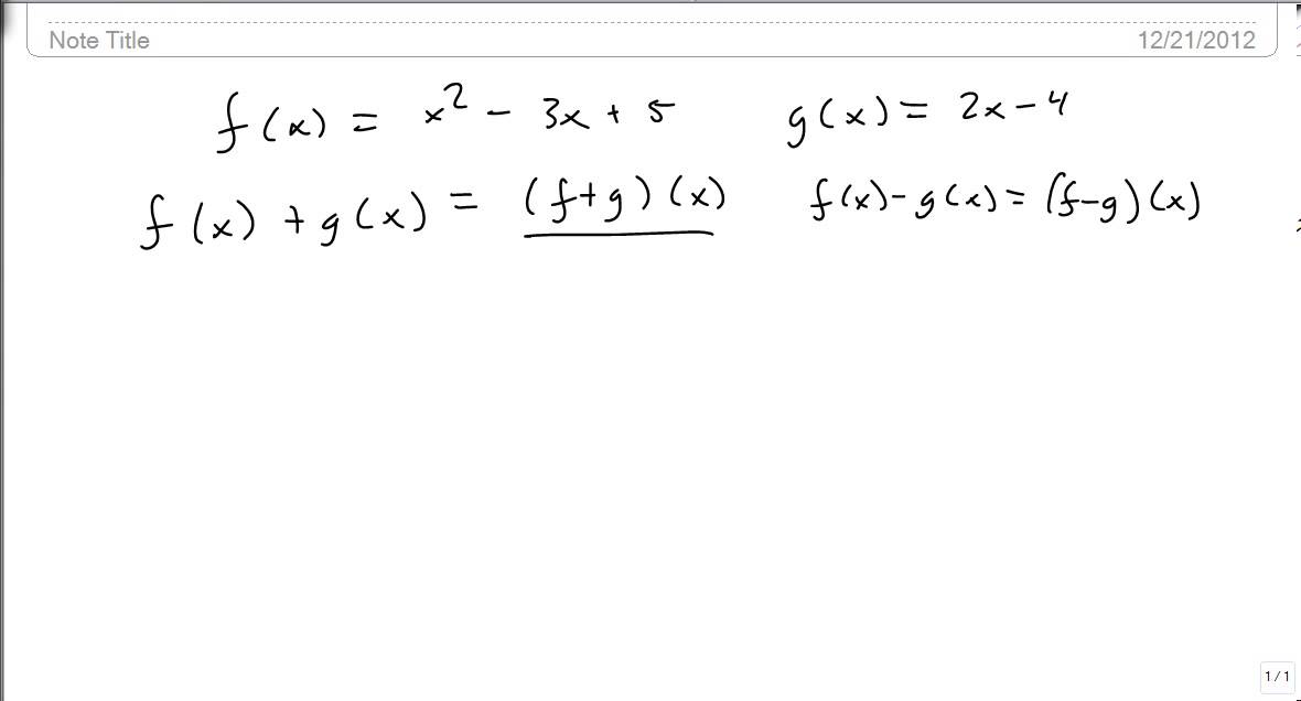
How to add and subtract polynomial functions
Tags and Topics
Browse our collection to discover more content in these categories.
Video Information
Views
980
Likes
2
Duration
1:47
Published
Dec 21, 2012
Related Trending Topics
LIVE TRENDSRelated trending topics. Click any trend to explore more videos.
Trending Now