Search Results for "traffic violation detection"
Find videos related to your search query. Browse through our collection of videos matching "traffic violation detection". Search across titles, descriptions, tags, and channels to discover the content you're looking for.
Search Results for "traffic violation detection"
50 results found

1:29
Traffic Management Plans - Traffic Control Plans | Construct Traffic
Construct Traffic
5 views

11:45
Tube Traffic Review - Tube Traffic - Tube Traffic Bonus
Johnny
3 views

6:00
blood test revolution for early alzheimer detection?|"Revolutionizing Alzheimer's Diagnosis: Early Detection with New Blood Test"
doctormohdasif
11 views
1:39
What is HETERODYNE DETECTION? What does HETERODYNE DETECTION mean?
tophoto
3 views

2:59
Brain Tumor Detection Using Machine Learning | With Source Code | Matlab Project | Tumor Detection
Roshan Helonde
968 views

1:37
Karachi E-Challan Update | Traffic Fines | Seatbelt & Helmet Violations | Traffic Police
Aaj TV Official
1.3K views
1:38
Auto Mass Traffic Review - Auto Mass Traffic
Latashacxe
1 views

0:25
Buy Website Traffic | Buy Targeted Traffic
TargetedWebTraffic
26 views

7:30
Auto Mass Traffic Review | Try Auto Mass Traffic Review...Wonderful!
Celiadxh
2 views

1:12
Traffic Control Plans - First Traffic Management
firsttrafficmanagement
3 views
1:44
What is Referral Traffic and Its Importance|How To Get Referral Traffic
sharmila G
5 views
1:35
Traffic Geyser, How Does it Work? What is Traffic Geyser?
GlobalCharles
16 views

2:46
Traffic Sign Recognition using Python Source Code | Traffic Sign Classification Using Python
Roshan Helonde
8.4K views
1:24
Gaza residents fear Israeli violation of cease-fire
teleSUR English
6 views
6:14
Violation [Short Film] Hollywood English Movie
Entertainment ( Latest Hindi Movies Channel )
37 views

0:23
best comebacks!! #violation #comebackszn #roasting #fyp #like #viralshorts
Plaids
6 views
1:32
Pakistan LoC fire: Pakistan accuses India of cease-fire violation in Pandu Sector
Inkhabar
1 views
22:06
FTS 12:30 29-11: Lebanese army denounces Israeli violation of cease-fire agreement
teleSUR English
1 views
2:46
Minister of State Home Affairs Hansraj Ahir on Cross Border infiltration and Cease fire violation
Inkhabar
0 views

6:59
Cease fire violation by Pak Army after Pakistani Army chief Javed Bajwa visits Line of control
Inkhabar
2 views
1:57
Update on Pakistan's cease fire violation
CNBC-TV18
1 views
4:27
7th Cease fire violation by Pakistani Army within 3 days in Krishna Ghati Sector, Jammu and Kashmir
Inkhabar
1 views
5:34
Pakistani Army cease fire violation in Mendhar Sector, Jammu and Kashmir
Inkhabar
4 views
1:12
New allegations emerge of Israeli violation of Gaza truce accord
teleSUR English
10 views
3:27
Are chemical attacks in Syria a violation of international law?
ARY NEWS
80 views
11:16
Coronavirus: Violation of protocols at Delhi’s markets
Aaj Tak
18 views

9:36
Pak-Afghan Ceasefire | Pakistan Warn Taliban | Ceasefire Violation | Attacks On Gaza | 8PM Headlines
Dunya News
107.5K views

42:32
Court Cam: 10 EXPLOSIVE Bond Violation Moments | A&E
A&E
263.9K views

9:04
IMAGE STEGANOGRAPHY: SECRET DATA CONCEALMENT AND DETECTION IN DIGITAL IMAGES USING LSB METHOD
ONG CHONG MENG A17MJ0127
331 views

1:02
Intrusion Detection System - Network Security and Cryptography
Nadia Naureen J 23MIA1074
4 views

6:06
Final Year Projects | Detection of Steganography Inserted by OutGuess and Steghide by means
ClickMyProject
4.1K views

0:47
How will AI impact early gun detection in schools? #wisconsineye #wipolitics #wisconsin #ai #shorts
WisconsinEye
278 views

31:01
Mining Your Ps and Qs: Detection of Widespread Weak Keys in Network Devices
USENIX
4.8K views

3:13
Air Quality Detection AI Capstone Project for class 12th
AI Projects for Class 12
9.4K views

1:03:28
Advanced JPEG Steganography and Detection by John Ortiz
Black Hat
36.4K views

0:19
Humanizing AI-Generated Text - (how to bybass ai detection)
Ai Techtalk
1.2M views

2:40
What is Intrusion Detection System and Its types | Cryptography and System Security #cryptography
TRN CSE Tutorials
27 views

1:24
Introducing the DARPA Computational Imaging Detection and Ranging (CIDAR) Challenge
DARPAtv
27.4K views

1:58
Anomaly based Intrusion Detection System (Hybrid IDS) | Types of IDS | Cryptography #cryptography
TRN CSE Tutorials
141 views

0:20
Turnitin AI writing detection bypasser
Netus Ai
519.8K views

2:45
076 How many types of Intrusion Detection System
Beginner's Start
866 views

3:07
Advanced Cryptography Tool: Caesar Cipher Decoder with Real-Time Analysis & Smart Detection
Cyber_Buddy
25 views

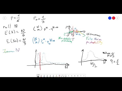
11:44
Cryptanalysis 6.6: False Alarm and Non-detection Probabilities
Cihangir Tezcan
343 views

7:39
Valgrind for Memory Leakage Detection - Installation and Demo
Shriram Vasudevan
16.2K views

2:16
Steganography Malware Detection Tool.
Ayaz
104 views

3:48
Detection of moving object using fuzzy color difference histogram matlab projects code
MATLAB SOURCE CODES
29 views

6:58
Intrusion Detection System (IDS) ll Types Of Intruder Explained in Hindi
5 Minutes Engineering
482.9K views

10:30
Universality of Computational Lower Bounds for Submatrix Detection
COLT
1.4K views

1:00
Intrusion Detection System (IDS)
FDI LABS CLASSROOM
5.8K views

0:34
AI Detection Test: Turnitin vs Originality vs GPT-Zero
Andy Stapleton
143.0K views
Page 1